发布时间:2017-11-29分类:香烟评测来源:用户投稿网站:www.yan1.cn
黑魔鬼香烟从外包装(黑魔装)来讲,全黑打扮给人一种很酷的感觉,两个魔鬼的图象更让人想象到从烟里面可以得到的快感。但是吸烟有害健康大家都是知道的,下面和中国烟草网小编一起看看黑魔鬼香烟评测 香烟内尼古丁评测方法。

在主流烟气的气相物中,最主要的有氮、氧、二氧化碳、一氧化碳和氢。这5种气体约占总气相物的90%,占总烟气释放量的85%左右。除此之外,还有一些其它化学成分。其中最主要的有害成分就是烟碱(尼古丁),焦油,一氧化碳。接下来就让我们对这几种有害物质进行评测。
黑魔鬼香烟评测方法:1,首先我们利用吸气装置将烟气的粒相成分(包括焦油、尼古丁、水)收集于棉花团上,此时棉花局部就变黄变褐了,那就是收集到的总粒相物(见下图1);
图1-总粒相物

2,称量出棉花原本的质量,然后再称量收集到总粒相物后的棉花质量(见下图2),用后者的质量减去前者的质量就是一根烟含有的总粒相物质量;
图2-收集到总粒相物后的棉花质量

3,把变黄变褐的棉花团浸取在盐酸和水中(见图3)

图3-总粒相物(焦油、尼古丁、水)溶解于盐酸和水中

4,以三氯甲烷为萃取剂,为指示剂,用标准硫酸溶液直接滴定尼古丁的方法(操作及颜色变化见图4)。

图4-实验过程图

硫酸溶液滴进尼古丁出现的分层
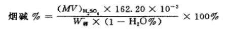
通过计算便得知烟碱尼古丁的含量了。通过相关运算即得出以下数据。:(单位mg.)
根据实验所得数据,按上式进行计算,得的评测结果为:BLACK DEVIL 黑魔鬼女士香烟烟碱含量=0.81mg.欧盟规定出售的香烟,烟碱含量不能高于1毫克

10种香烟尼古丁含量比较图
以上就是总过烟草网小编为大家整理收集的关于通过尼古丁成分测量实验,BLACK DEVIL牌女性香烟的尼古丁含量相对比较高。关注健康,与健康同行,常抽的MM们,你们的健康可以已经遭到威胁了,吸烟真的危害很大的。该引起注意了。
上一篇:黄鹤楼漫天游,除了短贵没别的毛病
我相信每个人都应该了解黄鹤楼。黄鹤楼旗下的雪之景系列香烟在市场上广受欢迎。在“雪之景”系列中,235号是雪茄。小编知道许多新吸烟者的雪茄味。今天小编整理黄鹤楼雪之景...
大家知道利群系列香烟有哪些爆珠香烟吗?今天烟吧小编就给大家介绍一下利群江南韵爆珠香烟,希望大家能够喜欢。接下来我们就来看一下具体内容吧。 参考价:26元/盒 焦油量:8m...
我很多朋友长期在欧洲,听他们说,老外们偏爱薄荷味更重的爆珠,凉到肺里的那种!不少老外喜欢和女朋友一起抽爆珠。小小的珠子,能让每一支烟,玩出不同味道,让抽烟这件事,多了点意思...
兰州硬珍品产自于甘肃,它是西北的,也是中国的,绵香的,就是中式的,特色的。西北地区及甘肃独特的地理环境,造就了对“绵香型”独有品牌的特别需求,对卷烟产品的润喉性、舒适性的要求...
玉溪香烟在烟草市场的关注度一直很高,一直以来也收获了一大批烟民粉丝。玉溪系列香烟口感不错的有很多,今天小编就为大家介绍一款玉溪阿诗玛软包香烟。那么玉溪阿诗玛好抽吗...
吸烟有害健康!香烟吧意在为烟民提供香烟品牌信息、香烟价格查询、科普香烟健康知识为主。
网站所有烟草内容,未成年人禁止浏览。网站绝不出售、代售任何烟草制品。
浙ICP备15007768号© 2010-2021 版权所有,违者必究